Hansı sığorta şirkəti nə qədər haqq toplayıb? - SİYAHI
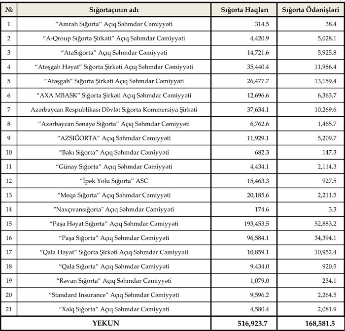
2018-ci ilin yanvar-avqust ayları ərzində sığorta şirkətləri tərəfindən hesablanmış sığorta haqları və sığorta ödənişləri
Müştərilərin xəbərləri
SON XƏBƏRLƏR
- 1 ay sonra
- 3 həftə sonra
-
3 saat əvvəl
Bakı–Tbilisi–Bakı sərnişin qatarlarının fəaliyyətilə bağlı yeni məlumat
-
- 6 saat əvvəl
-
6 saat əvvəl
Barclays: Robotlar Çinin işçi qüvvəsi itkisinin 60 faizini kompensasiya edə bilər
-
6 saat əvvəl
Azercell “Baku Flames” festivalında ilin “Ən Yaxşı Yerli Brend”i seçildi
-
6 saat əvvəl
AIREX 2026: Azərbaycan beynəlxalq daşınmaz əmlak sərgisinə ev sahibliyi edəcək
-
6 saat əvvəl
İnnovativ Gac Aion i60 modelinin Bakıda möhtəşəm təqdimatı baş tutdu
-
8 saat əvvəl
Sağlamlıq haqqında tibbi arayış olmadan işə qəbul qadağan edilir
- 8 saat əvvəl
- 8 saat əvvəl
-
9 saat əvvəl
Eldar Əzizov: Güclü yağışlarla mübarizə üçün Bakıda islahatlara ehtiyac var
Son Xəbərlər
Azvak.az-da yeni iş elanları
55 manatdan bank səhmdarı olmaq fürsəti: SON 25 GÜN
Neft İranla bağlı xəbərlər fonunda ucuzlaşır
İnnovativ Gac Aion i60 modelinin Bakıda möhtəşəm təqdimatı baş tutdu
Sağlamlıq haqqında tibbi arayış olmadan işə qəbul qadağan edilir
Ən çox oxunanlar
Dolların sabah üçün rəsmi məzənnəsi müəyyən olunub
1 gündə 500-ə yaxın sığortalı zərər görüb
Azərbaycanda daha bir aqropark yaradılıb
"İnvestAZ" ADPU Quba filialında seminar keçirib
Nazir Nəbiyev Dünya Bankının nümayəndə heyəti ilə görüşüb



















.jpg)






