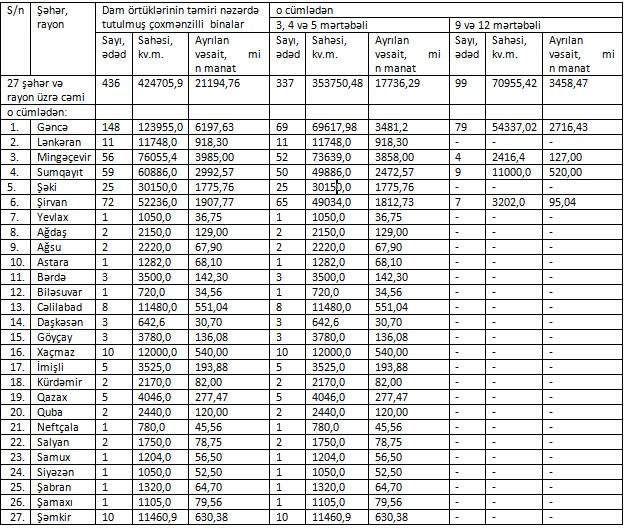
436 binanın dam örtüyü təmir ediləcək - 21 MİLYON MANATLIQ SƏRƏNCAM
Azərbaycan Respublikasının Prezidenti İlham Əliyev, "Azərbaycan Respublikasının şəhər və rayonlarında çoxmənzilli binaların dam örtüklərinin təmiri ilə bağlı əlavə tədbirlər haqqında" Sərəncam imzalayıb.
"Marja" xəbər verir ki, Sərəncama əsasən, Azərbaycanın 27 şəhər və rayonunda 436 çoxmənzilli binanın dam örtüyünün təmiri məqsədi ilə “Azərbaycan Respublikasının 2018-ci il dövlət büdcəsi haqqında” Azərbaycan Respublikası Qanununun tətbiqi ilə bağlı bir sıra məsələlər barədə” Azərbaycan Respublikası Prezidentinin 2017-ci il 25 dekabr tarixli 1756 nömrəli Fərmanının 1.14.3.3.9-cu (islahatlarla bağlı xərclər) yarımbəndində nəzərdə tutulan vəsaitdən 21 194 760 (iyirmi bir milyon bir yüz doxsan dörd min yeddi yüz altmış) manat bu Sərəncama əlavə olunmuş siyahıya uyğun şəhər, rayon icra hakimiyyətlərinə ayrılıb.
Dam örtüklərinin təmiri nəzərdə tutulmuş çoxmənzilli binaların şəhər və rayonlar üzrə bölgüsünə dair siyahı
Müştərilərin xəbərləri
SON XƏBƏRLƏR
- 1 ay sonra
- 3 həftə sonra
- 5 gün sonra
-
-
3 gün sonra
Yay mövsümü üçün iş: Supermarketlər şəbəkəsi işə qəbul elan etdi
- 8 saat əvvəl
- 8 saat əvvəl
- 8 saat əvvəl
-
14 saat əvvəl
Azercell “Great Place to Work®” beynəlxalq sertifikatına layiq görülüb
- 15 saat əvvəl
-
15 saat əvvəl
"FERRUM CAPİTAL"ın istiqrazlarına 50 investor 50 sifariş təqdim edib
-
15 saat əvvəl
AzInTelecom “AI GITEX Kenya 2026” texnologiya sərgisində təmsil olunub
- 15 saat əvvəl
Son Xəbərlər
Azvak.az-da yeni iş elanları
55 manatdan bank səhmdarı olmaq fürsəti: SON 23 GÜN
Bank sərfəli şərtlərlə əmanət qəbuluna davam edir
Bakı–Tbilisi–Bakı marşrutu üzrə bilet satışı başlayıb
Samsung Electronics həmkarlar ittifaqı ilə razılığa gəlib - hər işçiyə 340 min dollar bonus ödəniləcək
"FERRUM CAPİTAL"ın istiqrazlarına 50 investor 50 sifariş təqdim edib
Ən çox oxunanlar
Dolların sabah üçün rəsmi məzənnəsi müəyyən edilib
180 manata bilet - Bakı–Tbilisi–Bakı marşrutunda siniflər üzrə gediş haqqı açıqlandı
“Bir Kredit BOKT” 2025-ci il üzrə maliyyə göstəricilərini açıqladı
Goldman Sachs: Qlobal neft ehtiyatları rekord sürətlə azalır
Nvidia gəlirini 85 faiz, xalis mənfəətini 211 faiz artırıb
Mayın 22-də gözlənilən hava şəraiti - BAKIDA İNTENSİV YAĞIŞ YAĞACAQ







.jpg)















.jpg)