Sığorta şirkətlərinin 2021-ci ildəki yığımları və ödənişləri açıqlandı - SİYAHI
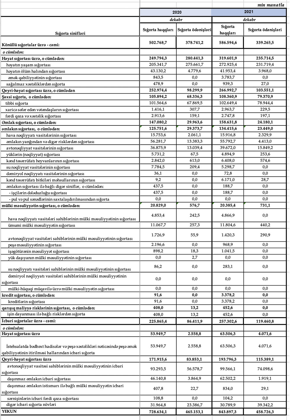
2021-ci il üzrə sığorta icmalı açıqlanıb.Mərkəzi Bank 2021-ci ildə sığortaçılar tərəfindən hesablanmış sığorta haqları və sığorta ödənişləri barədə məlumatları dərc edib.
Marja.az Mərkəzi Banka istinadən təqdim edir.

19.01.2022
15:46
Müştərilərin xəbərləri
“McDonald's Azərbaycan” “Uşaqların Sağlam Gələcəyi” reabilitasiya mərkəzinə tibbi avadanlıq təqdim edib - FOTO
SON XƏBƏRLƏR
- 1 ay sonra
- 1 həftə sonra
- 5 saat əvvəl
-
- 6 saat əvvəl
-
6 saat əvvəl
Onlayn kredit istifadəsində yeni tendensiya: Aylıq ödəniş hesablaması ön planda
- 15 saat əvvəl
-
1 gün əvvəl
NEQSOL Holding şəhid ailələrinə və qazilərə dəstəyini davam etdirir
- 1 gün əvvəl
- 1 gün əvvəl
- 2 gün əvvəl
- 3 gün əvvəl
-
3 gün əvvəl
Azərbaycanda süd istehsalı həcminin 10 %, ət istehsalının 20 % artırılması nəzərdə tutulur
Son Xəbərlər
Azvak.az-da yeni iş elanları
30.06.2026
15:44
55 manatdan bank səhmdarı olmaq fürsəti: SON 18 GÜN
12.06.2026
12:09
“Günaydın” restoranı yeni filialını açır
29.05.2026
22:02
“Pizza Mizza”nın “28 May” filialı açılıb
29.05.2026
21:43
“McDonald's Azərbaycan” “Uşaqların Sağlam Gələcəyi” reabilitasiya mərkəzinə tibbi avadanlıq təqdim edib - FOTO
29.05.2026
12:08
“Qarabağ Tekstil Evi” istifadəyə verildi - Yataq dəsti, çarpayı və divan örtüyü, dəsmal və digər məhsullar istehsal edir
28.05.2026
14:23
İş əlcəkləri istehsalı müəssisəsinin açılışı oldu
28.05.2026
13:33
Bank sərfəli şərtlərlə əmanət qəbuluna davam edir
27.05.2026
09:03
Azərbaycanda beynəlxalq sığorta forumu keçiriləcək
26.05.2026
19:12
SOCAR Çn şirkətilə “Abşeron” layihəsi çərçivəsində mümkün əməkdaşlığı nəzərdən keçirib
26.05.2026
18:49
Avenue 8 öz fərqli memarlıq fəlsəfəsi ilə WUF 13 forumunda – VİDEO
26.05.2026
18:36
“Avrora Qrup” Qurban Bayramı münasibətilə aztəminatlı ailələrə bayram sovqatı çatdırıb
26.05.2026
17:52
Bir neçə banka borcu olanlar üçün fürsət – illik 5%-dək endirim!
26.05.2026
16:29






.jpg)
.jpg)


.jpg)




.jpg)







