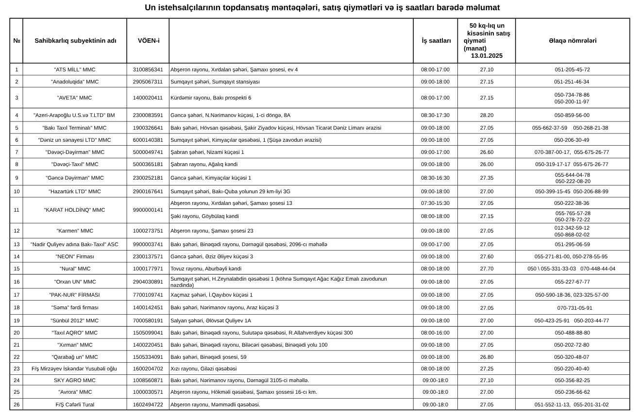
Dünyada buğda ucuzlaşsa da, Azərbaycanda un istehsalçıları qiymətləri artırıb
50 kq-lıq un kisəsinin qiymətləri 50 qəpyədək artırılıb.İqtisadiyyat Nazirliyi yanında Antiinhisar və İstehlak Bazarına Nəzarət Dövlət Xidməti 10 fevral 2025-ci il tarixinə "Un istehsalçılarının topdansatış məntəqələri, satış qiymətləri" bardə məlumatları açıqlayıb.
Marja.az-ın əvvəlki qiymətlər ilə apardığı müqayisəsi göstərir ki, son 1 ayda un qiymətləri artırılıb.
Belə ki, 14 Yanvar 2025-ci il tarixində açıqlanmış məlumatda 50 kq-lıq un kisəsinin satış qiymətiləri 26 manat - 28,20 manat civarında ikən, dünüən açıqlanan qiymətlərdən məlum olur ki, artıq un istehsalçılarının topdansatış satış qiymətləri 26,50 manat 28,20 manat civarındadır. Unun kisəsini 27 manatın üzərində təklif edən əksər istehsalçılar qiymətləri 10-50 qəpik civarında artırıblar.
Qeyd edək ki, dünya bazarlarda buğdanın qiyməti artmayıb, əksinə düşüb. Birləşmiş Millətlər Təşkilatının (BMT) Ərzaq və Kənd Təsərrüfatınnın (FAO) Taxıl Qiymətləri İndeksinə görə, taxıl qiymətləri yanvar ayında aylıq müqayisədə 0,3 faiz artsa da, illik müqayisədə 6,9 faiz azalıb. Yanvar ayında buğdanın ixrac qiymətləri cüzi azalma göstərib. Zəif idxal tələbi qiymətlərə təzyiq göstərib.
Un istehsalçılarının topdansatış məntəqələri, satış qiymətləri və iş saatları barədə məlumat - 10.02.2025

Un istehsalçılarının topdansatış məntəqələri, satış qiymətləri və iş saatları barədə məlumat - 10.01.2025

Müştərilərin xəbərləri
SON XƏBƏRLƏR
- 1 ay sonra
- 3 həftə sonra
- 5 gün sonra
-
-
3 gün sonra
Yay mövsümü üçün iş: Supermarketlər şəbəkəsi işə qəbul elan etdi
-
28 d. əvvəl
Azercell “Great Place to Work®” beynəlxalq sertifikatına layiq görülüb
- 47 d. əvvəl
-
1 saat əvvəl
"FERRUM CAPİTAL"ın istiqrazlarına 50 investor 50 sifariş təqdim edib
-
1 saat əvvəl
AzInTelecom “AI GITEX Kenya 2026” texnologiya sərgisində təmsil olunub
- 1 saat əvvəl
-
2 saat əvvəl
180 manata bilet - Bakı–Tbilisi–Bakı marşrutunda siniflər üzrə gediş haqqı açıqlandı
-
2 saat əvvəl
CityNet Best Managed Companies Azerbaijan 2026 mükafatına layiq görülüb
-
3 saat əvvəl
“Bir Kredit BOKT” 2025-ci il üzrə maliyyə göstəricilərini açıqladı
Son Xəbərlər
Azvak.az-da yeni iş elanları
55 manatdan bank səhmdarı olmaq fürsəti: SON 23 GÜN
Bank sərfəli şərtlərlə əmanət qəbuluna davam edir
180 manata bilet - Bakı–Tbilisi–Bakı marşrutunda siniflər üzrə gediş haqqı açıqlandı
“Bir Kredit BOKT” 2025-ci il üzrə maliyyə göstəricilərini açıqladı
Ən çox oxunanlar
Yapon avtomobili Nissan Magnite - CƏMİ 27 900 MANATA
Goldman Sachs: Qlobal neft ehtiyatları rekord sürətlə azalır
Nvidia gəlirini 85 faiz, xalis mənfəətini 211 faiz artırıb
Mayın 22-də gözlənilən hava şəraiti - BAKIDA İNTENSİV YAĞIŞ YAĞACAQ
İrşadda böyük “Yaşıl Cümə” fürsəti başladı!
İrana və Gürcüstana gedən Azərbaycan vətəndaşlarının sayı azalıb - 31,4 faiz və 7,1 faiz azalma






.jpg)
.jpg)







.jpg)







