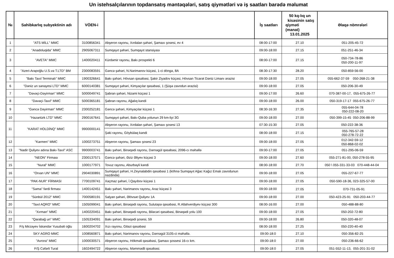
Dövlət Xidməti unun topdansatış qiymətləri barədə məlumat yayıb
Hazırda Azərbaycanda 50 kq-lıq un kisələrinin topdansatış qiymətləri 26-28 manat arasında dəyişir.
İqtisadiyyat Nazirliyi yanında Antiinhisar və İstehlak Bazarlarına Nəzarət Dövlət Xidməti Un istehsalçılarının topdansatış məntəqələri, satış qiymətləri və iş saatları barədə məlumat yayıb.
Qeyd edilib ki, 13 Yanvar 2025-ci il tarixində 50 kq-lıq un kisəsinin satış qiymətləri 26 manat - 28.20 manat civarındadır.
Müştərilərin xəbərləri
SON XƏBƏRLƏR
- 1 ay sonra
- 3 həftə sonra
- 5 gün sonra
-
-
3 gün sonra
Yay mövsümü üçün iş: Supermarketlər şəbəkəsi işə qəbul elan etdi
-
4 saat əvvəl
Azercell “Great Place to Work®” beynəlxalq sertifikatına layiq görülüb
- 4 saat əvvəl
-
4 saat əvvəl
"FERRUM CAPİTAL"ın istiqrazlarına 50 investor 50 sifariş təqdim edib
-
4 saat əvvəl
AzInTelecom “AI GITEX Kenya 2026” texnologiya sərgisində təmsil olunub
- 4 saat əvvəl
-
5 saat əvvəl
180 manata bilet - Bakı–Tbilisi–Bakı marşrutunda siniflər üzrə gediş haqqı açıqlandı
-
6 saat əvvəl
CityNet Best Managed Companies Azerbaijan 2026 mükafatına layiq görülüb
-
6 saat əvvəl
“Bir Kredit BOKT” 2025-ci il üzrə maliyyə göstəricilərini açıqladı
Son Xəbərlər
Azvak.az-da yeni iş elanları
55 manatdan bank səhmdarı olmaq fürsəti: SON 23 GÜN
Bank sərfəli şərtlərlə əmanət qəbuluna davam edir
180 manata bilet - Bakı–Tbilisi–Bakı marşrutunda siniflər üzrə gediş haqqı açıqlandı
“Bir Kredit BOKT” 2025-ci il üzrə maliyyə göstəricilərini açıqladı
Ən çox oxunanlar
Yapon avtomobili Nissan Magnite - CƏMİ 27 900 MANATA
Goldman Sachs: Qlobal neft ehtiyatları rekord sürətlə azalır
Nvidia gəlirini 85 faiz, xalis mənfəətini 211 faiz artırıb
Mayın 22-də gözlənilən hava şəraiti - BAKIDA İNTENSİV YAĞIŞ YAĞACAQ
İrşadda böyük “Yaşıl Cümə” fürsəti başladı!
İrana və Gürcüstana gedən Azərbaycan vətəndaşlarının sayı azalıb - 31,4 faiz və 7,1 faiz azalma






.jpg)











.jpg)





