"Avromed" işlənmiş avtomobillərini hərrac yolu ilə satır - QİYMƏTLƏR
"Avromed Company" QSC, balansında olan işlənmiş nəqliyyat vasitələrini hərrac yolu ilə satışa çıxarır.
Hərracda iştirak etmək istəyən hüquqi və fiziki şəxslər satınalma təkliflərini 14.12.2023-cü il saat 18:00-dək qapalı zərflərdə “Avromed Company” QSC-yə təqdim etməlidir.
Təklifdə aşağıdakı məlumatlar qeyd olunmalıdır:
- Fiziki şəxslər üçün: təklifin qiyməti, şəxsiyyət vəsiqəsinin surəti və bank rekvizitləri.
- Hüquqi şəxslər üçün: təklifin qiyməti, şirkətin hüquqi sahibinin şəxsiyyət vəsiqəsinin surəti və bank rekvizitləri.
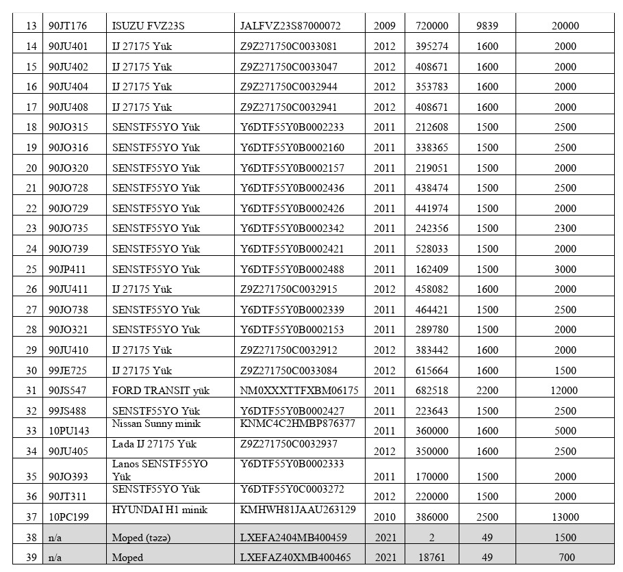
Nəqliyyat vasitələrinin sayı - 39.
Nəqliyyat vasitələri yalnız bir lotda satılacaq, ayrılıqda satışı mümkün deyil.
Əlavə qeydlər:
1. Avtomobillərin Dövlət Yol Polisi idarəsində qeydiyyatı alıcının hesabına aparılacaqdır;
2. ƏDV şirkət tərəfindən ödəniləcəkdir.
Təkliflərin göndəriləcəyi ünvan: “Avromed Company” QSC baş ofis, Neftçilər prospekti 153, Port Baku Cənub Qülləsi, 11-ci mərtəbə, Bakı, AZ1010, Azərbaycan.
Məsul şəxs: Azər Məmmədov, Nəqliyyat Parkının Meneceri (+994 55 215-72-67 / [email protected])
Nəqliyyat vasitələri haqqında ətraflı məlumat və başlanğıc qiyməti aşağıda göstərilib:
Müştərilərin xəbərləri
SON XƏBƏRLƏR
- 1 həftə sonra
- 1 həftə sonra
- 5 gün sonra
-
-
1 saat əvvəl
Naxçıvan və Urumçi şəhərləri arasında iqtisadi əməkdaşlığa dair onlayn görüş keçirilib
-
3 saat əvvəl
Rusiyada təsisçiləri Azərbaycandan olan şirkətlərin sayı artıb
- 3 saat əvvəl
-
3 saat əvvəl
Xarici vətəndaşlar üçün bəzi qoruq və muzeylərə giriş qiyməti dəyişir
- 3 saat əvvəl
- 4 saat əvvəl
- 4 saat əvvəl
-
4 saat əvvəl
Rəşid Behbudovun itmiş rəsmi ABB-nin dəstəyi ilə yenidən yaradıldı!
- 4 saat əvvəl
Son Xəbərlər
Biznesiniz üçün QISA NÖMRƏ (Ulduz nömrə) alın
Azərbaycanda Vakansiyalar - Azvak.az
Ödənişsiz investisiya seminarı: Yatırımda təcrübə qazan
Dolların sabah üçün rəsmi məzənnəsi müəyyən olunub
Yeni m10kart - İstədiyin an, istədiyin yerdə ödə
ABB İnvest “İlin investisiya şirkəti” seçildi
Ən çox oxunanlar
Zərgərlik sahəsində əyar nəzarəti sistemi formalaşdırılır
Rəşid Behbudovun itmiş rəsmi ABB-nin dəstəyi ilə yenidən yaradıldı!
Bakı Limanında rekord nəticə
Sahibkarın 4 milyon manatını ələ keçirməkdə təqsirləndirilən dəstənin məhkəməsi başlayıb
"FINCA Azerbaijan"ın dollar istiqrazlarına 54 investordan 54 sifariş - HƏRRACIN NƏTİCƏSİ
6 faydalı qazıntı yatağı hərraca çıxarılacaq
Paşinyan Azərbaycandan Ermənistana benzin tədarükünü alqışladı



















.jpg)

